2.2.3艇體真空導入成型充模過程數學模型的建立
由于真空導入成型對RTM成型的繼承性,本文在RTM充模過程數值模擬的基礎上,對艇體真空導入成型的充模過程進行分析。
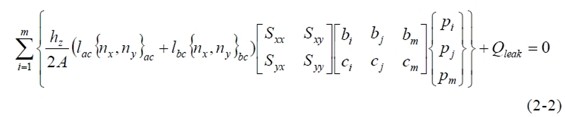
真空導入成型的關鍵是通過分配系統使樹脂在表層快速流動,并在厚度方向緩慢浸潤。同時,由于艇體厚度非常小,樹脂在導流布上的流動距離遠遠大于在厚度方向上的流動距離。由此可知,真空導入成型的充模過程主要取決于導流介質的平面滲透率及預成型體厚度方向的滲透率,而預成型體的平面滲透率并不屬于關鍵因素。在上述分析的基礎上,可以假設預成型體的浸潤完全是通過樹脂在厚度方向的流動完成的,忽略樹脂在預成型體平面方向的流動。由此,可以將艇體真空導入成型的充模過程分為兩個部分:第一是樹脂在導流布平面方向的流動,可視為RTM成型工藝中樹脂在二維薄板內的流動;第二部分是樹脂在厚度方向由高滲透介質向預成型體滲流,預成型體吸收了從導流布滲漏出的樹脂,其流動示意圖如圖2-6所示。由此,建立了艇體真空導入成型充模過程的滲漏模型。


對于RTM二維流動的研究大多是基于流體在多孔介質中流動的達西定律進行的[33-38],其充模過程的二維等溫數學模型如下:




通過上述分析,在式(2-1)中加入Qleak項,則滲漏模型的控制方程可寫為:


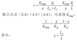
式中 Lp一一預成型體中樹脂橫向流動前峰長度;
Lp----剝離層介質的厚度。
由此可得表面速度y如下:

2.3工藝參數對艇體真空導入成型的影響及材料選擇原則
復合材料制件成型的顯著特點是材料與結構同時一體成型,因此,艇體成型中任何一處缺陷都有可能導致整個艇體的報廢,造成難以彌補的損失。針對實際生產中容易出現的缺陷,結合其成型原理分析各個工藝參數對成型質量的影響尤為關鍵[39]。本節從滲透率、樹脂特性、真空度以及澆注系統的設計這幾個方面進行分析[40-42],得出成型材料的選擇原則,以更好的完善工藝設計。
2.3.1工藝參數影響分析
1.滲透率
滲透率是表征樹脂在壓力梯度下通過增強材料時流動的難易程度的物理量。在艇體真空導入成型過程中,由于艇體尺寸大,僅僅依靠外界大氣壓力與模腔內真空之間形成的壓力差很難完成填充。因此,通常利用滲透率較高的導流布并鋪設樹脂管道來促進樹脂流動,完成對整個模腔的填充。由于導流布滲透率高而增強材料滲透率相對低,充模過程中樹脂在導流布表面迅速流動,同時在厚度方向上緩慢浸漬增強材料。可以通過改變導流布使用比例來控制增強材料預成型體上下表面樹脂流動前鋒的距離。鋪層時,剎車區域的設置正是利用了這個特點。
2.樹脂粘度
樹脂流動是樹脂在預成型體中傳遞、運輸的前提和保證。通常情況下,
將材脂在增強材料中的流動看做是不可壓縮黏性流體在多孔介質中的流動,其流動狀態可由Darcy定律來描述,如下:
- 下一篇:碳纖維復合材料在民用航空上的應用
- 上一篇:環氧樹脂體系在風力機中的應用、回收與更新










魯ICP備2021047099號