1.4 X軸、Y軸、Z軸應力公式的推導
張梓雄、董曾南在《粘性流體力學》一書中指出,當流體靜止時,不同方向上的正應力具有不同的數值,且有:

公式(14)、(15)、(16)分別是X軸、Y軸、Z軸在一定條件(一定壓強)下的軸向應力計算公式。
2算例
某汽車制動器襯片毛坯厚度為33mm,當壓縮至17mm時,計算各項軸向應力。假設取向比λ=0.4、流動粘度系數D=0.7、物料壓縮比δ=3、比例系數k=2。

通過計算得,該汽車制動器襯片橫向剪切強度約為11MPa;縱向剪切強度約為16MPa;壓縮強度約為59MPa。
上述計算結果可能與實際試驗數據存在一些誤差,這說明工藝條件的制約,制品的內部結構的缺陷、表面紋理、晶格排列、位錯、分子的運動等等,都能影響制品的性能。
3摩擦系數的估算
摩擦系數等于材料的剪切強度與壓縮強度之比,即:


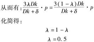
可以看出,當λ=0.5時,即制品的橫向特性尺寸與縱向特性尺寸相等時摩擦系數最小。所以摩擦系數范圍為:

通過以上論證得出結論,任何復合材料的摩擦系數都是由材料本身性質決定的,與產生摩擦系數的外部環境無關。
依據算例,某汽車制動器襯片摩擦系數值為:
在摩擦系數范圍內,如選擇一摩擦系數為定值,就能確定制動器襯片縱橫比,從而確定制動器襯片的幾何尺寸。
復合材料的一些性能數據在配方設計時,通過計算能夠大致掌握,在產品更新換代的研發中可節約大量人力、物力和財力,縮短試制周期,降低研制費用,達到事半功倍的作用。
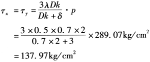
樹脂基復合材料在模具內各個方向的應力保持平衡是一個理想狀態,這樣能夠減少制品內應力,抵御更多外力作用。假設X軸、Y軸、Z軸各軸向應力相等,即:тX= тy= тz

即橫向尺寸與縱向尺寸相等時,就能獲得相等的應力,保證了軸向剪切應力的平衡,減少了制品的內應力。依據算例(其他條件不變),平衡時的剪切應力為:

剪切強度約為14MPa。
汽車制動器襯片橫向尺寸與縱向尺寸趨于一致時,能夠獲得高的剪切應力強度,特別是重載車制動材料的縱橫尺寸比趨于1時,剪切應力趨于平衡。
4結語
綜上所述,通過對模壓成型過程中模腔內樹脂基復合材料所受應力進行計算分析,可推導出材料在X軸、Y軸和Z軸方向的應力公式,從而得出材料在模腔內所受的縱、橫向剪切強度和壓縮強度,估算出材料的摩擦系數,確定材料的幾何尺寸。理論計算是在理想狀態下進行,沒有考慮模壓過程中工藝技術參數的波動、樹脂的牌號、模壓的溫度、時間等諸多因素,所以計算結果與實際測試尚有差距。









魯ICP備2021047099號