雷達天線罩被強臺風吹壞,經分析是由于結構原缺陷或損傷區擴大(包括結構材料和接頭),接頭進一步松動改變了單元件的邊界條件,使單元件的應力狀態惡化,反過來使接頭處受力增加,接頭更松動或損傷,進一步促進單元件應力狀態更嚴重,甚至從一種應力狀態突變到另一種應力狀態,也即為局部失穩,或某單元件局部失穩,進一步使周圍接頭應力增大,逐步擴大失穩區,直到整個球殼破壞。有一個從缺陷→接頭→局部失穩直到整體破壞的過程。這些缺陷有原始的,也有經老化疲勞和蠕變新增加或者是原始缺陷擴大的。另一方面,接頭還有一個因工藝因素和安裝因素產生的缺陷和不均勻,經過老化疲勞和蠕變后進一步擴大和惡化,從而改變雷達罩單元件或某局部區域的邊界條件,促使和加快局部失穩過程。一個單元件的局部破壞,在連續的強臺風的條件,必將引起罩子的整體破壞。
1 穩定概念
一根壓桿從單純受壓的應力狀態變成彎曲應力狀態,即稱為失穩,這是著名的歐拉失穩。對于一塊
板,同樣由受面內壓縮應力狀態受彎曲時,也稱為失穩,只是板是四邊支撐的,板的失穩臨界載荷要比壓桿大許多,況且,隨著邊界從簡支心為固支,其臨界載荷成倍或幾十倍地增加。夾層結構因大大提高彎曲剛度,從幾十倍到幾百倍,因而采用夾層結構大大提高板的臨界載荷。有曲率的殼體比平板不易失穩,曲率半徑越小越不易換穩,當曲率半徑增大時,就易失穩,直到曲率半徑為∞時也即成為平板時,相對殼而言,失穩臨界載荷大大降低。
壓桿失穩后就不能繼續承載了,但板不同,失穩后能繼續承載。傳統的均質的金屬薄板,特別是對重量要求很嚴格的飛機結構,允許板失穩,對于玻璃鋼復合材料,此觀點同樣適用。對于平板失穩,玻璃鋼/復合材料不同于均質金屬材料,有個最優設計的問題,對于加筋板更是允許板失穩,不僅航空上允許,對于艦船也是允許的。
對于殼體,特別是薄殼,尤其是對稱旋轉的薄殼,所謂失穩,事實上往往因制造缺陷等各因素,是從局部地區先失穩。對于這種薄殼,失穩后就失去實際承載的能力,也因此稱為整體失穩。對于對稱性薄殼,又在對稱邊界條件,往往以整體失穩的臨界載荷作為設計指標。
夾層結構板或殼的失穩又有一些新的內容:①即使對于夾層結構壓桿,除必須計及芯子剪切變形影響的修正歐拉壓桿臨界載荷外,還有剪切失穩,面板局部失穩;②對于夾層結構板,除計及剪切變形的臨界載荷外,其中特別重要的有面板象支持彈性基礎上的局部皺曲失穩,對于蜂窩芯子這類孔狀芯子,又有孔內面板局部失穩;③對于夾層結構殼,在對稱載荷及旋轉殼的情況下,與夾層結構板差不多,有面板局部失穩臨界載荷。對于非對稱載荷旋轉殼、對稱載荷非旋轉殼、非對稱載荷非旋轉殼的這類殼體,還應有一個它們特有的局部失穩,在此方面極少見到成熟的理論和計算公式。可應用微分幾何和差方原理進行分析計算。由于復雜性,還沒有像上述那些板殼有計算公式。目前只能用特殊處理過的有限元數值計算。
2 破壞現象
從幾只雷達罩破壞現象可以看出,面板、芯子有發白、分層,接頭螺孔變形很大,孔邊發白、分層等,螺栓彎曲,單元件凹陷、折斷等。這是一個原材料質量欠佳或不均勻→工藝缺陷及不均勻→接頭安裝不到位及不均勻→老化→疲勞→蠕變→局部損傷→接頭松動損傷→局部失穩。整體破壞的過程。對有關問題在有關“工藝”“接頭”兩文敘述。
從破壞現象可知,對于上述的幾種失穩,還要增加:①缺陷、分層對失穩臨界載荷的影響;②接頭松動或局部損傷,即邊界缺陷對失穩臨界載荷的影響;③當①、②共同存在時,對失穩臨界載荷的影響。
3 球殼穩定性
均勻球殼在均勻外壓下的穩定性早在1915年已得出,對金屬材料,泊松比為0.25,穩定k系數為1.193,是很大的,不少研究者對其進行理論和實驗的研究,k逐步從0.5~0.6直到0.25~0.3。對于各向異性的玻璃鋼/復合材料,k取0.18~0.25,一般取0.2,這是從鋼結構球殼的經驗k系數推導出來。對于夾層結構球殼,其厚度和彈性模量是從夾層結構球殼與單層均質球殼的等拉伸剛度和等彎曲剛度的條件推導的折算厚度和彈性模量。
當單層球殼k系數取0. 2,肯定是偏于安全的。球殼經風洞試驗,當k取0.3時,球殼還未破壞,況且風洞的風速是向一個方向吹來,要比均勻外壓嚴重。但是對于夾層球殼,穩定計算必須涉及芯子剪切變形的影響。也足以說明芯子剪切變形對曲板臨界載荷的影響。對復合材料,特別是夾層結構的殼體,復合材料分層,面板與芯子脫膠失穩,均對臨界載荷有影響。
4 雷達天線罩穩定性
玻璃鋼夾層結構雷達天線罩的穩定性,除具有球殼穩定性的共性外,還有其特性。這當中,有二個特性必須強調:①由于罩子是許多分塊構成,同時強臺風本身強度很不均勻,同時又是從一個方向或幾個方向吹向罩子,一定存在一個以單元體為中心的局部穩定性問題。根據罩子半徑和厚度,以及接頭的布置及質量,以及風力強度和分布,有一個以一塊單元局部失穩和一個以幾塊單元體的局部失穩;②面板本身的局部失穩。
4.1 罩子局部失穩
理論上精確計算罩子的局部穩定性,是極其困難和復雜的。目前還沒有可供應用的計算公式。我們可以根據罩子的實際受力情況,按文獻[14」中的根據具體情況進行具體分析的指導思想,該文獻是針對變曲率殼體在均勻外壓下的穩定性提出的采用一個加權曲率半徑的方法。
對于我們均勻的球殼,在有分塊,且外載荷極不均勻的情況下,我們可以采用如下方法。先用通常載荷計算出罩子的無矩理論的面內應力,這應力是不均勻的,然后取一塊面應力最大的單元件,用加權的方法計算出這塊單元件當作承受均勻面應力的應力值。這塊單元件通過接頭彈性支撐在罩子的其它單元件上。為了說明此塊單元件的局部穩定性間題,可以暫時假設單元件邊界是簡支。這塊單元件是在最強的臺風速的壓力作用下,因此這塊單元件則成為在壓彎受力的單元體。
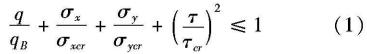
如按無矩理論計算出單元體面內正應加σx、αy、τxy對于矩形單元體,可以以球體的經緯線方向定為x,y方向)。然后計算出臨界應力σxcr、σycr、τcr、σxcr、σycr。用文獻[6]中的式(2.5〕表6.1~6.10,τcr用表6.11~6.21,再計算出單元體單承受橫向分布載荷下的破壞載荷qB。
則可以按下式核算罩子單元件的強度:

這實際上是這單元件在局部最強的風壓力9作用下,其曲率越來越小,直到曲率為零,即曲率半徑為∞,這時,在σx、σy、τxy作用下突然失穩,直接影響周圍其它單元件,而發生最后破壞。
4.2 面板局部皺曲失穩
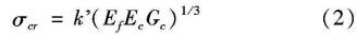
對于夾層結構,具有特有面板類似于支持在芯子彈性基礎上的局部皺曲失穩,其計算公式為:
其中,k’為穩定系數,是與成型工藝、面板初曲率、面板與芯子膠接強度及幾何尺寸等有關的常數,k’的范圍為0.05~0.32。
另外,還有芯子剪切失穩,計算公式為:
除非面板較薄,并且蜂格較大,才會出現蜂格由酒窩型(凹陷)局部失穩,如文獻[7]中的式(3.2)。
5 實際使用中的穩定性
雷達天線罩經幾年使用后,經過大氣自然老化,反復受強風的疲勞,及長期自重及風載作用的蠕變,使夾層結構材料在剛度和強度方面均退化,具體來講,面板拉壓、剪切強度下降,面板Ef及芯子的Gc、Ec下降,使式(1)中的qB,σxcr、σycr、τcr減小,這樣就容易在特別大的臺風作用下,在受力最大的單元體首先局部失穩破壞。
另外,Ef、Ec、Gc下降,特別式(2)中k’系數也下降,這樣也會使面板發生局部皺曲失穩,經過長期使用后,會出現面板局部皺曲或剪切失穩。面板局部失穩又會影響單元件的受力狀態,使單元件的受力更嚴重,促使單元件失穩。
另外,接頭經過長期使用后,會松動,甚至于出傷,這樣也可使式(1)的qB,σxcr、σycr、τcr減小,從而加劇單元體失穩。
6 結束語
雷達天線罩是一個完整的產品,目前設計水平還未達到安全系數設計一致,在設計過程中必須有存在安全系數較小的部位。一個產品正象一只木桶,木桶的各塊木條是一樣的長短,當某木條短后,這木桶的水就要流出,只能達到短木條的水平,因此必須對產品的各個部件、部位,各種應力狀態,進行精細準確的設計,使各部位、各種受力狀態達到同樣安全可靠程度。
另外,產品設計必須涉及老化、疲勞、蠕變等因素,不能只靠提高安全系數來解決,應從實際試驗數據出發。目前還沒有數據,可參考國內外有關資料。研究所及設計部門應加強這方面的基礎研究工作,以便提高產品設計水平,確保產品長期使用質量。
對上述提出一些罩子特有的局部穩定性,要深入研究。
對于材料缺陷及接頭松動,退化等對產品穩定卻影響,也要加強研究。
必須盡快到破壞罩子現場取樣,全面進行試驗,取得第一手最寶貴資料。
經過試驗,分析,理論計算,將會變壞事成好事。
通過這一次分析研究,必須加強產品的原材料、生產工藝過程、出廠、安裝的檢驗,并制定有關標準規范,并規定各崗位的責任制。










魯ICP備2021047099號