先進樹脂基復合材料是由纖維和樹脂按一定方式復合而成的一類新型材料。然而復合材料的制造過程非常復雜,在其制備過程中由于各種因素以及工藝實施不完善等造成最終復合材料制品存在孔隙。孔隙的存在嚴重地影響材料的質量和力學性能,為外界空氣和水分擴散進制品提供了路徑,使聚合物降解并引起氧化作用,削弱纖維和基體的界面結合力El,2],進而影響復合材料的層間剪切強度、彎曲強度和模量、拉伸強度和模量、壓縮強度和模量、抗疲勞以及高溫性能。許多學者Is]認為,對于環氧基復合材料,孔隙含量每增加1 ,材料的剪切性能將下降6 ~8 。因此,為了提高復合材料的制備質量,必須合理地控制制備環境條件及固化溫度、壓力等工藝參數,使氣泡在樹脂凝膠之前盡量排出,以便降低孔隙含量。
在復合材料成型過程中,氣泡主要隨著樹脂的流動而運動[4 ],因此,對樹脂流動和氣泡運動關系的研究是十分必要的。本文中利用自行建立的氣泡運動可視化裝置,研究了樹脂流動對氣泡運動速度的影響關系,并在實驗基礎上建立了氣泡運動模型,該研究結果將為復合材料成型過程中氣泡運動模型的建立提供依據。
1實驗部分
1.1 實驗材料及設備
環氧618:環氧值0.51,無錫樹脂廠生產;1,4-二氧六環:分析純,北京益利精細化學品有限公司生產;數碼相機:尼康C001PIX995,尼康株式會社;微量進樣器(量程為5~100 L):上海醫用激光儀器廠。
1.2 實驗裝置及方法
為了研究樹脂流動對氣泡運動行為的影響,首先建立了氣泡運動的可視化裝置,如圖1所示。該實驗系統由流體裝載、流體接收、氣泡發生(微量進樣器)以及圖像采集等部分組成。主要利用重力差原理,控制裝載部分和流出部分的液面高度差來使樹脂流動,并通過調節控制閥來改變樹脂的流速。
.jpg)
圖1 實驗系統示意圖
實驗中所用液體為環氧618樹脂,其粘度通過加入1,4一二氧六環稀釋劑來調節。首先將除凈氣泡的樹脂倒人流動系統中并充滿整個實驗段,然后用微量進樣器將一定體積的氣泡注入觀察段底部中央處,同時用數碼攝相機跟蹤拍攝氣泡的上升過程并記錄相應的時間,最后用計算機軟件Adobe Pre—miere對圖像進行處理,讀取氣泡在每一記錄時刻所上升到的具體位置,從而計算出氣泡的運動速度。
為了確定該系統的復現性,實驗對某一設定流速分不同時間段進行了6次復現性實驗,得到的實驗結果見圖2。從圖2中可以看出,在相同的實驗條件下,采用該系統進行實驗時,得到的實驗結果復現性好,曲線偏移小。經過計算得知,重復實驗數據的離散系數約為3 ,其離散性主要由系統誤差、環境和人為操作等因素引起。
.jpg)
圖2 系統復現性實驗
2 實驗結果與討論
為了考察氣泡在不同外界條件下的運動狀態,首先對5組不同體積的氣泡在不同粘度、不同流動狀態樹脂中的運動速率進行了研究。氣泡體積分別為20 mm3。、40 mm3。、60 mm3。、80 mm3和100 mm3。
圖3分別給出了氣泡在靜止樹脂和流動樹脂中的運動位移和時間關系曲線。從圖3中可以看出,無論樹脂呈靜止狀態還是流動狀態,氣泡均作勻速運動,即氣泡在產生后的一瞬間就達到了受力平衡,速度恒定不變。另外,當樹脂粘度和樹脂流速等改變時,氣泡均呈現上述的運動行為。
在復合材料的成型過程中,氣泡一般是隨著樹脂的流動而運動的。因此實驗主要考察了樹脂流動方向和流動速率對氣泡運動速度的影響。圖4為樹脂流動速率對氣泡運動速度的影響。當樹脂流動方向與氣泡運動方向相同時,隨著樹脂流速的增加,氣泡的運動速度呈明顯的上升趨勢,且遠遠大于樹脂流速,見圖4(a);而樹脂流動方向與氣泡運動方向相反時,隨著樹脂流速的增加,氣泡的運動速度呈明顯的下降趨勢,見圖4(b)。可見,樹脂流動方向顯著影響氣泡的運動速度,且同向時樹脂流動對氣泡的上升有明顯的帶動作用,而反向時樹脂流動對氣泡的上升有明顯的阻礙作用[7]。圖5給出了某一恒定流速下,氣泡在同向流動樹脂和反向流動樹脂的運動速度對比。由圖5明顯可以看出,對同一氣泡,其同向流動的運動速度明顯大于反向流動的運動速度。


圖3 氣泡運動位移一時間關系曲線


圖4 樹脂流速對氣泡運動速度的影響


圖5 樹脂流動方向對氣泡運動速度的影響
另外,樹脂流動方向與氣泡運動方向相反時,樹脂流速以及粘度一定的條件下,隨著氣泡體積的變化,氣泡運動速度可能降為零甚至反向運動,其臨界值見圖6。由圖6可知,氣泡運動方向改變的臨界體積幾乎隨著樹脂流速的增加而增大。樹脂流速越大,其作用在氣泡表面的壓力越大,從而對氣泡運動產生的阻力越大。因此,只有增加氣泡體積,使浮力增加,才能克服這種阻力的作用而保持靜IE。
.jpg)
圖6 氣泡速度為零的臨界點


圖7 理論計算結果與實驗結果對比
.jpg)
圖8 靜止和流動樹脂中氣泡相對運動速度對比
3 氣泡運動模型的建立
3.1 基本理論分析
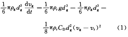
假設樹脂為不可壓縮的牛頓流體,流體密度為定值,則氣泡在運動過程中主要受到慣性力、重力、浮力和粘滯阻力的作用,依據力學平衡原理[8],滿足式(1),即

式中:vg為氣泡運動速度;vr為樹脂流動速度;CD為阻力系數;pg、dg分別為氣泡密度和氣泡直徑;Pr為樹脂密度。
式(1)中從左到右的各項依次為慣性力、重力、浮力和粘滯阻力。由前面的實驗分析可知,樹脂中的氣泡在產生瞬間立即保持勻速運動,故慣性力可忽略。同時由于Pr》Pg ,所以氣泡重力也可忽略,則可得到下式:
![]()
即
![]()
由于實驗中,氣泡和樹脂的相對運動速度較小,雷諾數R <1,故
,而

則式(3)變為
![]()
其中:
為樹脂粘度;
為氣泡和樹脂的相對運動速度。
3.2 實驗數據分析
由實驗可知,樹脂流動速度和流動方向不同時,氣泡運動速度相差很大。通過方程(5)可得到氣泡與樹脂相對運動狀態不同時,氣泡運動速度的理論值,并將得到的理論方程計算結果與實驗結果進行了對比,如圖7所示。由圖7中可以看出,理論曲線與實驗曲線吻合比較好,這表明用所推導的氣泡運動模型描述流動樹脂中氣泡的運動行為是適合的。對比結果所存在偏差主要有以下兩點原因:(1)理論推導假設氣泡的體積不變,為球形,而實際情況氣泡并非為理想的球形;(2)人為誤差,造成實驗數據出現偏差。
另外由公式(5)可知,當樹脂流動速度為零時,該方程表示氣泡在靜止樹脂中的運動速度,即當樹脂粘度和氣泡體積一定的情況下,流動樹脂中氣泡的運動速度為樹脂運動速度和靜止樹脂中該氣泡運動速度之和。因此實驗比較了某一氣泡在靜止樹脂和流動樹脂中相對于樹脂的運動速度,如圖8所示。由圖8中可以看出,兩條曲線基本吻合,即二者運動速度之差為純樹脂的運動速度,進一步驗證了公式(5)的正確性。
4 結 論
在純樹脂中,樹脂流動方向和流動速度對氣泡的運動速度有顯著的影響。當樹脂流動方向與氣泡運動方向相同時,隨著樹脂流速的增加,氣泡的運動速度明顯增大,且遠遠大于樹脂流速;而樹脂流動方向與氣泡運動方向相反時,隨著樹脂流速的增加,氣泡的運動速度明顯下降,可以低于樹脂流速或降低為零,甚至可以與樹脂同向運動。另外所建立的氣泡運動模型較好地描述了氣泡在流動樹脂中的運動狀態,且實驗結果與理論計算結果吻合較好。










魯ICP備2021047099號