1·前言
使用有機涂層是防止金屬腐蝕的重要途徑之一。現代工業的發展導致環境惡化,使得人們對金屬防腐用涂料承受環境影響的能力和使用壽命提出了更高的要求。在防腐涂料體系中,環氧樹脂類涂料是重防腐涂料的主力軍[1-2],這是因為環氧樹脂類涂料對金屬基材有很強的附著力,對惡劣的腐蝕環境有較好的綜合防腐性能。然而其耐酸性差,如果腐蝕環境中含有較強的酸類物質,防腐涂層將會受到嚴重的破壞。為了克服環氧樹脂類涂料不耐酸的缺點,人們采用酚醛樹脂及酚醛樹脂改性胺對其進行改性,從而制備出綜合性能優良的耐酸堿性的酚醛環氧防腐涂料。該類涂料受到了生產廠家和施工單位的重視,市場前景廣闊。由于酚醛環氧樹脂防腐涂料的性能在很大程度上取決于固化劑的種類與特性,為此,本文就近年來國內外酚醛環氧防腐涂料用固化體系的研究現狀、發展趨勢和應用前景進行介紹。
2·酚醛環氧防腐涂料用固化體系
2.1酚醛樹脂固化體系
酚醛樹脂帶有能與環氧樹脂中的環氧基、羥基起反應的基團,在一定條件下這些基團能相互交聯產生固化[3]。
雖然酚醛樹脂的使用已較為普遍,但在防腐領域,酚醛樹脂尚未發揮出全部潛力,有待進一步研究與探索,以期在防腐領域發揮更大的作用[4-12]。現酚醛樹脂作為環氧粉末涂料的固化劑已實現工業化并獲得應用,如英國國際涂料公司采用Interpon HD酚醛樹脂為固化劑的管道防腐用環氧粉末涂料。該涂料熔融固化后,涂層的附著力、柔韌性、抗海水性、耐化學品性和抗冷熱變化性都相當好。
Pietro Campaner等[13]用腰果酚含量不同的酚醛樹脂固化雙酚A環氧樹脂,并測定了固化后涂膜的機械性能。研究發現,固化后涂膜的機械性能隨著環氧樹脂含量的增大而提高,與腰果酚含量為35%的酚醛樹脂固化雙酚A環氧樹脂相比,腰果酚含量為20%的酚醛樹脂固化雙酚A環氧樹脂不僅未影響固化后涂料的熱降解溫度,反而提高了玻璃化溫度(Tg),同時增強了涂料的力學性能和耐化學品性。
張軍科等[14]用制備的有機硅低聚物對環氧樹脂進行改性,然后用酚醛樹脂作為固化劑固化有機硅改性后的環氧樹脂。所制備的有機硅改性環氧樹脂既具有耐候、耐熱、低溫和介電強度高等優點,又具有優良的化學、粘結和機械性能。往該樹脂中加入耐熱顏填料及助劑,制得了兼具有機硅、酚醛樹脂和環氧樹脂三者優點的耐高溫涂料,可應用于耐熱500°C以上的場合。
2.1.1苯酚–甲醛、雙酚A–甲醛樹脂固化體系
吳敏、施惠生[15]研究了熱固性酚醛樹脂的合成以及用酚醛樹脂改性環氧樹脂的過程,并通過測定其機械性能找出合理的配比范圍。他們首先以苯酚、甲醛、氨水為原料合成熱固性酚醛樹脂,然后將制得的熱固性酚醛樹脂與雙酚A型環氧樹脂按不同配比配成透明、均一、穩定的試樣,再對其凝膠時間和環氧值進行測定,探討了不同配比對樹脂環氧值、凝膠時間以及涂膜沖擊性能的影響。結果發現,雙酚A型環氧樹脂與酚醛樹脂固化比例在3∶1時,固化后的涂膜增韌效果良好,沖擊強度較高。
孫明超等[16]以對叔丁基酚、苯酚、甲醛水溶液為原料,在氨水的催化下進行縮合共聚,合成了一種對叔丁基酚改性的酚醛樹脂,并與非雙酚A型環氧樹脂以特定比例混合配制成涂料,獲得了具有良好附著力、耐腐蝕和耐沖擊的環保型食品罐包裝涂料。研究表明,對叔丁基酚的加入量占混合酚量的1/6時,酚醛樹脂的脆性得到改善,改性后的環氧酚醛涂料的耐沖擊性和附著力均有較大幅度的提高。
鄭易安等[17]以雙酚A取代苯酚作主要原料,通過縮聚反應合成了新型雙酚A酚醛樹脂,通過正丁醇醚化、環氧樹脂改性,固化后涂膜兼具兩種樹脂優良的性能。同時,他們用熱重–差熱分析、紅外光譜等技術對環氧改性的酚醛樹脂的特征及熱固化溫度進行了研究,測試了涂層浸泡液中游離醛及游離酚的含量。結果表明,環氧基全部參與了固化,涂層具有優良的耐熱性能(386°C),且游離酚含量(0.004 72 mg/L)遠低于相關的國家標準(0.110 00 mg/L),與傳統的苯酚–甲醛樹脂相比,該涂層更適于作為食品罐頭內壁材料和防腐蝕材料使用。
馬詩緯等[18]用聚醚胺與酚醛改性脂肪胺(乙二胺、二乙烯三胺)作為混合固化劑固化環氧樹脂,研究了聚醚胺的用量對環氧樹脂沖擊強度、凝膠時間以及粘接性能的影響,并通過測試鋼–鋼拉剪強度研究了此結構膠粘劑的耐濕熱老化性能。結果表明,隨著聚醚胺用量的增加,環氧樹脂固化體系的沖擊強度明顯提高;隨著濕熱老化時間的延長,體系的粘接性能逐漸降低。
2.1.2腰果酚–苯酚–甲醛樹脂固化體系
K.P.Unnikrishnan等[19]用不同的酚醛樹脂對雙酚A環氧樹脂進行了改性,包括苯酚/甲醛(PN)縮合的酚醛樹脂、腰果酚/甲醛(CDN)縮合的酚醛樹脂以及腰果酚–苯酚混合酚與甲醛縮聚合成的酚醛樹脂(CPNs)。結果表明,添加苯酚–腰果酚–甲醛樹脂(CPNs)比單獨添加PN或CDN樹脂的能量吸收要好,并且當腰果酚–苯酚–甲醛樹脂中腰果酚含量為40%時,固化后涂料的性能(例如吸收能量和斷裂伸長率)達到最大值,并且斷裂能量吸收的增加與拉伸強度的增加是同時實現的。研究發現,以腰果酚–苯酚–甲醛樹脂固化后,環氧樹脂涂膜的韌性得到了較大的提高,而且具有良好的耐水性。
N.H.Nieu等[20]用苯酚–腰果酚–甲醛樹脂固化縮水甘油醚雙酚A環氧樹脂,發現苯酚–腰果酚–甲醛樹脂對環氧樹脂不僅具有增韌作用,而且提高了縮水甘油醚雙酚A環氧樹脂的熱穩定性,且固化后的涂料具有優異的機械性能和耐化學品性。
2.2酚醛樹脂改性胺固化體系
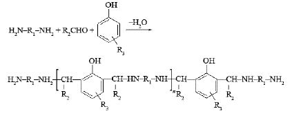
酚醛樹脂改性胺類環氧固化劑的合成是由酚類和多胺類化合物與醛經曼尼希(Mannich)反應而成的低分子聚合物,不同的酚、醛、胺可合成出性能各異的固化劑。其化學反應通式如下:

近年來,國內外相繼提出了許多脂肪胺固化劑的改性方法。利用曼尼希反應[21-22]改性的乙二胺和二乙烯三胺分子中含有酚羥基、胺類活潑氫和酚醛骨架結構,提高了固化反應速度,極易形成高度網狀交聯結構,改善了環氧樹脂本身的耐腐蝕性,因而得以廣泛應用。酚醛改性胺固化機理以下式表示:

經過酚醛改性的胺類固化劑均為液態,黏度較低,易與環氧樹脂混溶,大大方便了使用者的操作。同時,分子內引入了酚醛骨架結構,提高了環氧樹脂固化物的熱變形溫度[23]。由于在分子中引入酚和醛,使分子鏈加長,相對分子質量加大,活潑氫在分子中所占比例相對降低。而分子內引入酚羥基,強化了固化反應活性,因此可在常溫、低溫(甚至在0°C左右)以及潮濕環境下固化。
2.2.1苯酚–甲醛、雙酚A–甲醛改性胺固化體系
國內外酚醛改性胺固化劑的研究多集中在烷基酚、多烷氧撐二胺與甲醛的合成及應用研究上,酚類、胺類都向著多樣性發展。林青松等[24]介紹了苯酚、甲醛、二乙烯三胺Mannich堿的合成反應機理,并對環氧樹脂固化后的性能進行了研究。結果表明,在給定的反應條件下,選擇合適的原料配比,可制備出具有合適的黏度、適中的胺值以及游離酚含量小于5%的曼尼希型改性二乙烯三胺環氧樹脂固化劑。與未改性的二乙烯三胺相比,該體系有較快的固化速率,并且固化后的涂料具有較優異的物理化學性能。
J.J.Lin等[25-26]研究了苯酚、甲醛、多烷氧撐多胺和雙酚A與甲醛、多烷氧撐二胺等Mannich堿的合成反應機理,并對環氧樹脂固化物進行了表征,同時研究其性能。結果發現,該反應得到的固化劑既有羥基又有氨基,因此低溫反應速度較快,改性后的固化劑能夠改善產物的機械性能。
2.2.2腰果酚縮醛胺固化體系
腰果殼油[27-28]改性的酚醛胺固化劑是一類低溫、干燥速度快、防腐性能優異的新型環氧固化劑,其分子結構中含有大量能促進環氧樹脂固化的酚羥基和常溫反應活性高的脂肪胺,使固化體系在低溫條件下也能快速固化,同時極性的羥基還能增強對底材的附著力。另一方面,所有的腰果殼油環氧樹脂體系都是以帶有不飽和雙鍵的碳15直鏈取代酚為基礎。碳15直鏈能給體系提供優異的柔韌性和耐水性,同時取代酚中含有的苯環結構又具有耐化學腐蝕性能好的特點[29]。
胡家朋[30]以雙酚A型環氧樹脂(EP)為A組分,以由腰果酚、甲醛和二乙烯三胺合成的腰果酚縮醛胺(PCD)固化劑為B組分,合成了新一代環氧樹脂重防腐涂料。結果表明,新一代環氧樹脂固化劑PCD的綜合性能好,EP與PCD固化劑按質量比為100∶30配比所得的PCD–EP酚醛胺固化環氧樹脂聚合物的綜合性能最佳,而且固化后的環氧樹脂涂料具有很好的耐水性和耐腐蝕性。
施銘德等[31]以丁腈改性環氧樹脂為A組分,以PCD固化劑為B組分,制備了無溶劑絕緣防水重防腐涂料。由于腰果酚縮醛胺固化劑分子結構中含有大量促使環氧基開環的酚羥基和高活性的脂肪胺,其特殊的分子結構降低了混合體系的表面能,改進了混合體系自身的相容性和對表面的附著性,也為固化后的體系提供了優異的耐磨性。制備的涂料可常溫快速固化,具有優良的耐溫、耐化學品腐蝕性,附著力強、干燥快、抗沖擊性高、平整光亮、柔韌性好,與儲罐的陰極保護裝置具有良好的配套性,可在低溫(-5°C)、潮濕的環境固化,反應平穩,適用期長,漆膜絕緣性能突出,尤其是在施工過程中對環境無污染,無刺激性氣體產生,并且VOC(揮發性有機物)零排放,避免了有機溶劑和有毒有害氣體容易發生“閃爆”的安全事故,非常適用于環境封閉的作業體系,在大型儲油罐、潛艇、艦艇、船舶密閉艙的防腐涂裝中有著獨特的優勢,是實用的無溶劑型防水重防腐涂料,值得推廣。
曾凡輝等[32]以腰果油改性的酚醛胺環氧固化劑固化環氧防腐涂料,制得了具有優異防腐功能和低溫干燥性能的新型鐵路車輛防腐涂料。該方法制得的環氧防腐涂料的性能符合鐵道行業標準TB/T 2260–2001《鐵路機車車輛用防銹底漆》的技術要求,特別是耐鹽霧腐蝕性能和干燥性能,遠遠超出鐵標的要求。研究表明,當選用此腰果油環氧固化劑時,與聚酰胺環氧固化劑相比,在5°C的低溫下防腐涂料的環氧基團開環率由28%提高到84%,涂膜的玻璃化轉變溫度由60.7°C提高到72.1°C,耐鹽霧腐蝕達720 h。
2.3其他固化體系
郭志光等[33]以三乙胺、二甲苯胺為催化劑合成了丙烯酸改性F-44酚醛環氧樹脂,研究了反應時間、溫度、催化劑用量對丙烯酸轉化率的影響,測試了產物的光化學反應活性、力學性能、耐酸堿性和耐溶劑性等。結果表明,反應溫度95°C、6 h可以制得含環氧基的丙烯酸酚醛環氧樹脂(AFEE),所得涂膜具有良好的力學性能、耐溶劑性和耐酸堿性等。湯誠等[34]采用酚醛環氧樹脂、固化劑、耐酸性顏填料以及助劑稀釋劑等制備了可常溫固化的酚醛環氧耐酸防腐涂料。該涂料具有優良的耐化學品性,不但具備了傳統環氧樹脂涂料的優異耐堿性,而且還具備優異的耐酸性等綜合防腐性能。
3·結語
酚醛環氧防腐涂料具有優良的耐化學品性,既具備傳統環氧樹脂涂料的優異耐堿性,又具備優異的耐酸性,能夠適應惡劣的化工生產環境,具有廣闊的市場前景。隨著工業的飛速發展,重防腐涂料的應用越來越廣泛,通過合成不同性能的酚醛樹脂以及酚醛改性胺固化劑固化環氧樹脂,加以不同的顏填料以及助劑、稀釋劑,制備出各種性能的酚醛環氧防腐涂料,可以適應不同環境的需求。腰果酚改性胺固化劑是一種性能優異的環氧樹脂固化劑,為開發新型的高性能、多用途、低成本、環保型的重防腐環氧樹脂涂料固化技術提供了一條新途徑。而低表面處理、高防腐性能、四季施工性及無毒等是重防腐涂料的發展方向,也符合能源方面的可持續發展要求。因此,酚醛環氧防腐涂料正在成為今后環氧重防腐涂料的主流。









魯ICP備2021047099號