0·引言
腐蝕是一種由于材料與環境反應而引起的材料的破壞和變質。腐蝕過程是熱力學自發過程,是不可逆轉的。據美國腐蝕工程師協會(NACE)的權威統計,每年由于腐蝕造成的損失仍然占到GDP的3%~5%。因此,尋找合適的方法防止材料的腐蝕對于創建資源節約型社會來說具有科學意義。
防止金屬腐蝕的方法很多,如金屬選材、陰極保護、采用金屬保護層、采用緩蝕劑及采用防腐涂料等。在所有的防腐措施中,采用防腐蝕涂料是應用最廣泛、最經濟、最方便的一種方法。日本腐蝕和防腐蝕協會調查表明[2],在涂料、金屬表面處理、耐腐蝕材料、防銹油、緩釋劑、電化學保護、腐蝕研究等七大防腐蝕費用中,采用涂料防腐蝕所花的經費占62%,這足以說明涂料防腐蝕方法的實用和重要性。而在眾多的防腐蝕涂料中,聚氨酯防腐涂料是繼其他防腐涂料之后的最通用的涂料品種,其用量僅次于醇酸樹脂涂料,如2000年美國聚氨酯涂料消耗量為62.8萬t,占總產量的11%,其中建筑業(木地板及水泥地板)用7.5萬t,汽車修補用7.3萬t,儲油罐和管道防腐蝕用48萬t[。
聚氨酯(Polyurethane)是由多異氰酸酯(含—NCO)和大分子多元醇(含—OH)聚合而成的樹脂。在聚氨酯大分子中由于存在大量的氫鍵,分子間作用力大,大分子鏈對多數化學物質穩定,所以以聚氨酯為成膜物質而配成的聚氨酯防腐涂料具有優良的耐化學腐蝕性、抗滲透性、耐磨性、堅韌性以及強的附著力等特性,而且在聚氨酯大分子中可變化的因素很多,可以根據不同的實際情況進行分子設計和結構調整,使其能更好地滿足實際需要。較其他涂料而言,因聚氨酯涂料優異的性能,從而奠定了它在防腐蝕涂料領域中極其重要的地位。
1·聚氨酯防腐蝕涂料的分類
聚氨酯防腐涂料通常是通過一定的化學反應在基材上成膜和硫化交聯的,因此聚氨酯防腐涂料屬于反應型涂料,它主要分為單組分潮氣固化型防腐蝕涂料、雙組分聚氨酯防腐蝕涂料、聚氨酯粉末涂料等。
1.1單組分潮氣固化型聚氨酯防腐蝕涂料
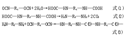
1.1.1反應原理
單組分潮氣固化型聚氨酯防腐蝕涂料(Moisture-cured Polyurethanes,簡稱MCU)是由含有羥基的大分子化合物(如聚醚樹脂、聚酯樹脂、環氧樹脂、蓖麻油樹脂)與過量的多異氰酸酯反應生成的芳香族或脂肪族異氰酸根端基的預聚物、溶劑(低水分含量)、顏料(化學活性和電化學顏料)、除水劑、助劑、催化劑(特別是脂肪族MCU)組成。單組分潮氣固化型聚氨酯涂料施工后,通過預聚物中的—NCO與水反應生成脲鍵而固化成膜。這一反應分為兩個階段[5]:首先水與—NCO反應生成不穩定的氨基甲酸,隨即分解為胺和二氧化碳;二氧化碳從涂膜中揮發,而胺繼續與剩余的—NCO反應生成脲,這也就是潮氣固化型聚氨酯涂料具有耐久性、耐腐蝕性、耐化學性和良好的保色性的道理。其具體反應過程如式(1)、式(2)、式(3)所示。

潮氣固化型聚氨酯的干燥時間取決于相對濕度和溫度。因此在涂料固化時,需要既考慮濕度,又考慮溫度,這意味著在較低溫度下,空氣中水較少,干燥速度會變慢,相反,在較高溫度下,空氣中水分較多,意味著更多的水與—NCO反應,反應速度將要加快,因此,在配方設計時,應預先考慮施工時的環境條件。
1.1.2涂料特點
單組分潮氣固化型聚氨酯防腐蝕涂料是防腐蝕涂料的重要品種,主要是由于它具有以下優勢[6]:
(1)施工簡便,對底材處理要求不高,和其他單組分涂料不同的是,單組分聚氨酯無需工件表面干燥,即使工件表面有一層水膜也可完全固化。
(2)施工范圍寬,一般零度以上、相對濕度在30%~98%均可施工,即使在冬天、霧天、甚至細雨天的潮濕基面上,也能夠正常地施工干燥,施工后1~2 h就可以達到涂膜觸干,空氣濕度越高,固化時間越短。
(3)潮氣固化型聚氨酯涂料中含有大量的脲鍵、氨基甲酸酯鍵,因此涂膜的耐磨性較雙組分聚氨酯更好,耐化學品性、耐特種潤滑劑、防原子輻射性、耐水性、附著性和柔韌性優異。
(4)潮氣固化型聚氨酯涂料既可作為面漆,又可作為底漆,對各種基材都有很好的表面容忍性和附著力。
(5)涂料具有優異的耐水性和耐化學品性,可以用于被浸濕的條件下,能夠和陰極保護一起使用。
1.1.3濕氣直接固化聚氨酯涂料
該聚氨酯涂料是由聚氨酯預聚物加溶劑配制而成。為了能使涂膜順利地固化,應先將預聚物進行預先擴鏈,以增加其相對分子質量。在配制好的涂料中含少量游離的—NCO基,它們可與空氣中的水分反應而使涂膜交聯固化。這種聚氨酯涂料的優點是使用方便,缺點是因含活潑的—NCO基,它易與空氣中的水分反應,故儲存期短,一般為1 a左右。
1.1.4烘干型封端聚氨酯涂料
封端聚氨酯是利用多異氰酸酯與酚類化合物反應形成氨基甲酸酯,其特點是加熱可重新分解出—NCO。將它與大分子多元醇混合構成單組分涂料,在儲存過程中穩定,烘烤時分解出的—NCO與—OH固化成膜。一般涂層固化成膜的烘烤溫度大約為100~160℃。選擇封端劑時應考慮脫封溫度,通??蛇x用苯酚、甲酚、乙酞乙酸乙酯等,另外,加入催化劑可降低脫封溫度。常規情況下,脫封溫度低的產品儲存穩定性也差。
單組分聚氨酯涂料除了上面兩種外,還有單組分濕氣活化潛催化劑聚氨酯涂料、單組分催化濕氣固化聚氨酯涂料、氧固化聚氨酯改性油等。
1.2雙組分聚氨酯防腐蝕涂料
1.2.1涂料特點
這是一種最常見的聚氨酯涂料。該類涂料分為兩個組分,一份含多異氰酸酯,另一份含大分子多元醇以及各種添加劑和催化劑等。使用時按一定比例混合即可,現用現配。正是由于多元醇部分可以任意調節,固化劑部分也有較多的品種可以選擇,因此普通聚氨酯涂料所具有的特點在聚氨酯防腐蝕涂料中也都有。雙組分聚氨酯防腐蝕涂料主要有如下特點[9]:
(1)涂料固化后形成的交聯的分子結構使涂膜具有優異的不透水和不透氧性能,能耐水、溶劑、鹽水浸泡,具有優良的防腐蝕性能。
(2)固化后的聚氨酯涂膜內含有較強極性基團,氨酯鍵之間可形成氫鍵,因此能和基底形成緊密附著,具有優異的附著力和優異的耐磨性。
(3)選擇不同羥基組分的羥值和多異氰酸酯固化劑的—NCO值就可以獲得不同交聯度的涂膜。而且用于提供羥基的多元醇樹脂的選擇性很廣,通過羥基組分選擇,就可以獲得對特定腐蝕介質穩定性好的涂料。
(4)比環氧樹脂防腐蝕涂料具有更低的施工溫度,可在零度甚至更低溫度施工,可制備適用于低溫潮濕環境下使用的防腐蝕涂料。
(5)雙組分聚氨酯涂料兩組分需按比例精確配制,現配先用,有施工期限。
1.2.2環氧聚氨酯防腐蝕涂料
環氧樹脂具有高模量、高強度、優良的附著力和低收縮率;對水、中等酸、堿和其他溶劑有良好的耐蝕性,耐化學性好等優點,并可直接參與水性聚氨酯的合成反應,提高水性聚氨酯涂膜的綜合性能[10]。因此環氧樹脂也被廣泛用于水性聚氨酯的改性以提高涂料的耐腐蝕性。Eram等[11]用冰醋酸和雙氧水將亞麻籽油和水黃皮籽油進行環氧化制得環氧樹脂,再將上述產物繼續羥基化后與異氰酸酯反應制得了兩種聚氨酯。實驗將其分別涂覆在經過處理的低碳鋼鋼板上,待其干燥后分別浸入3.5%(質量分數,下同)NaCl、5%HCl、水和甲苯中進行抗腐蝕劑測試,結果表明,二者均具有較好的耐腐蝕性。李翠景等[12]用環氧樹脂、甲苯二異氰酸酯(TDI)與三羥甲基丙烷(TMP)的加成物作固化劑制成的防腐蝕涂料,既具有環氧樹脂的高附著力、高強度、低收縮率、耐化學品性和防腐性,又具有聚氨酯的優良柔韌性、耐磨、耐油、高豐滿度、耐老化性能和成膜性能。
1.2.3丙烯酸聚氨酯防腐蝕涂料
由于丙烯酸優異的耐候性、保光保色性、不泛黃、耐化學腐蝕、抗污染等優點,因此用丙烯酸改性聚氨酯也具有十分好的應用價值。
曾德淼等[13]設計了一種用于鐵道機車的防腐蝕底漆,在該配方中,選用兩種丙烯酸樹脂復配,具有不同的玻璃化溫度,樹脂A高羥基含量提供較高交聯密度,樹脂B柔性丙烯酸樹脂提供涂膜柔韌性,消除涂膜內應力,增加附著力。這種涂料可以低溫固化,在5℃的干燥速度是環氧樹脂的2倍,鹽霧腐蝕實驗達到500 h以上,符合鐵道部對底漆的要求。
1.2.3含氟聚氨酯防腐蝕涂料
含氟聚氨酯涂料系采用三氟氯乙烯、乙烯基化合物、烯酸、乙烯基醚的四元共聚物氟烯烴/乙烯基醚共聚樹脂作基本漆料(即FEVE樹脂),采用脂肪族異氰酸酯(如縮二脲多異氰酸酯、HDI三聚體)為固化劑,常溫交聯成膜的一種涂料。其除具有PVDF體系具有的顏料潤濕性和柔韌性外,還具有良好的溶劑可溶解性、透明性、光澤、硬度和可交聯性,主要特點是樹脂中含有大量的F—C鍵,其鍵能為485J/mol,在所有化學鍵中堪稱第一。在受熱、光(包括紫外線)的作用下,F—C鍵難以斷裂,因此顯示出超強的耐候性及耐化學介質腐蝕,所以其穩定性是所有樹脂涂料中最好的[14]。田軍等[15]將三聚氰胺氰尿酸鹽(MCA)、金屬氧化物填料和經過60Co-γ射線處理的聚四氟乙烯(PTFE)按比例混合于酮和芳香烴組成的混合溶劑中研磨,然后加入聚氨酯樹脂成涂料。在兩個氮氣壓力下,將涂料噴涂于干凈的碳鋼底材上,室溫固化72 h制得耐腐蝕性聚合物膜。實驗研究表明,隨涂料中PTFE含量的增加,表面聚四氟乙烯的聚集程度增大。PTFE含量小的涂料,其涂層表面為孔狀結構,當涂料中PTFE含量增加時,涂層表面呈片狀結構。并且涂層的表面能各分量與聚四氟乙烯材料的值相近,它與水的浸潤熱為負值,涂層開始與水浸潤時,潤濕不是一個自發的過程。其需要外界的能量漲伏和浸潤時間,才能形成自發的潤濕??梢?,涂層表面具有很強的疏水性質,因而該涂層具有良好的耐腐蝕性。
1.2.4有機硅改性的聚氨酯防腐蝕涂料
有機硅改性聚氨酯涂料是指聚氨酯分子主鏈或側鏈上引入Si—O或Si—C鍵的合成樹脂涂料[16],聚氨酯涂料具有突出的耐磨損性、耐化學品性、耐油性、具有良好的可焊性,但耐熱性、耐低溫性、三防性和電絕緣性不夠理想。而有機硅涂料具有耐熱性好、耐候好、疏水性好、生理惰性等優點,因此有機硅改性聚氨酯可以綜合二者的優異性能,彌補聚氨酯材料的不足。隨著新材料的深入研究,有機硅改性聚氨酯材料的性能亦將更加優異,以滿足不同行業和領域的各種需求。王金偉等[17]通過二氯甲基硅烷直接水解然后用含氨基的氯硅烷封端成功地合成了氨基硅油;然后用氨基硅油與異氰酸基封端的低聚物共聚合成了氨基硅油改性的聚氨酯。紅外光譜分析表明氨基硅油的合成及其對聚氨酯的改性是成功的;鹽霧實驗表明,改性后的聚氨酯對銅表面的防腐蝕性能有較大提高。這主要是因為有機硅的引入增加了聚氨酯的表面疏水性。然而,不同相對分子質量的氨基硅油改性聚氨酯后,對金屬表面防腐性能的影響有待于進一步研究。
1.2.5納米改性的聚氨酯防腐蝕涂料
由于納米粒子具有許多特殊的性質,如表面尺寸效應、體積效應、量子效應等,引起了科學工作者的廣泛興趣。同樣,它在改性聚氨酯防腐蝕涂料方面也產生了良好的效果。
Y W Chen—Yang等[18]先用雙十二烷基二甲基溴化銨和4,4-二氨基二苯基甲烷對蒙脫土進行改性,然后將其加入適量的聚丙二醇、1,4-丁二醇和2,4-甲苯二異氰酸酯中進行插層聚合制得了兩種納米改性聚氨酯。實驗用塔菲爾法研究了聚合物的防腐性能,結果表明,納米粒子的加入量為2%時,改性聚氨酯的防腐性能較純的聚氨酯有了較大的提高。Saha等[19]將球狀的納米TiO2、片狀的納米粘土、以及棒狀的納米纖維用來改性聚氨酯泡沫。實驗發現,所有實驗中,僅僅加入1%質量分數的納米粒子就可以使聚合物的熱力學性能和機械性能大大提高。同時提高了聚氨酯的防腐性能。但是由于納米粒子成本較高,使其廣泛應用受到了限制。
1.3聚氨酯粉末涂料
聚氨酯粉末涂料是將涂料粉末涂于基體表面,并且烘干硫化。在烘干過程中,粉末熔融并粘合形成一種光滑的無孔涂層,同時發生化學交聯反應,從而將熱塑性粉末轉變成一種硬的耐久的防護涂層。
聚氨酯粉末涂料由樹脂狀多元醇(如含羥基的對苯二甲酸樹脂或丙烯酸樹脂)與封端的多異氰酸酯(如己內酞胺封端的TDI或IPDI)組成。除此之外,還含顏料、填料和流動改性劑。涂料的烘烤溫度為150~200℃(需10~35 min),每噴涂一遍可獲得40~150μm厚的涂層。聚氨酯粉末涂料由于具有優異的流動性和附著性,因此其涂膜具有良好的機械性能和很高的耐磨性,以及耐腐蝕性和耐溶劑性。聚氨酯粉末涂料已在家電、空調、建材、汽車部件和摩托車部件中得到廣泛的應用。吳防修[20]將聚氨酯粉末涂料應用于摩托車發動機箱體的涂裝,具有良好的耐腐蝕性能。將聚氨酯粉末涂料以含羥基聚酯樹脂與封閉異氰酸酯固化劑為基料,加流平劑、顏填料等經混合、熔融、擠出、粉碎而成。
1.4高固體分聚氨酯防腐蝕涂料
100%固體含量聚氨酯防腐涂層技術于20世紀70年代在北美開發成功[21],目前已經成為北美采用最廣泛的防腐涂層技術之一,代表了21世紀涂料工業的發展方向,它的噴涂技術先進,質量穩定,涂層固化快,施工方便快捷,效率極高,可廣泛應用于鋼材、鑄鐵,水泥等多種基體的防腐蝕。
100%固體含量聚氨酯涂料通常包含兩種組分:一種是多異氰酸酯溶液,另一種是多元醇溶液,該涂料已被定義為ASTM D16V型聚氨酯涂料[22]。當兩種組分混合時,反應形成聚氨酯涂層,其反應過程是快速、放熱的化學聚合反應過程。所謂“100%固體含量”含義是涂料不用任何溶劑溶解、帶走或減少任何涂料樹脂,也就是說,這些樹脂正常情況下仍為液體狀態,涂覆后100%轉換成固體涂層。
2·影響聚氨酯防腐蝕涂料施工及涂膜性能的因素
聚氨酯防腐蝕涂料的配方及施工對于發揮防腐蝕涂料的功能是非常重要的。防腐蝕涂料的失效主要是由于涂料配方設計不當、基材表面處理。施工或具體操作的不當引起的。
2.1 NCO/OH比值的影響[23]
在聚氨酯涂料配方中,需要考慮多方面的因素。配方的組分變化將帶來性能方面的改變。雙組分聚氨酯涂料的計量比應考慮到高濕環境中—NCO與水的反應影響,還有可能來自溶劑、顏料、基材上的水分吸附。此外,異氰酸酯的品種也會對涂膜性能產生較大影響,芳香族異氰酸酯涂膜在戶外使用耐久性差,嚴重泛黃,但其價格較低。不同的異氰酸酯固化劑的反應性也是有差別的,在配方中必須考慮到使用不同種類和用量的催化劑。
多異氰酸酯組分具有高反應性,而且它通常是配方中價格最昂貴的部分,故聚氨酯涂料多數在重要的應用場合下使用,為此聚氨酯涂料的配方較其他類型涂料要求更加精確,準確計量是非常關鍵的,以確保—NCO與—OH完全反應。配方一般設計成—NCO過量以保證反應徹底,設計配方時,需要在性能和價格方面進行平衡。雙組分涂料的一個重要參數是NCO/OH的值。在室溫固化體系中,NCO/OH為1.1:1或以上的比例能給予涂膜較好的性能。
若NCO/OH小于1,則有一部分低相對分子質量的多元醇組分會留在涂膜中未反應,生成較軟的膜層,涂層的耐化學性較差,涂膜彈性增加,由于遺留下極性的羥基,使涂膜的交聯密度降低,但是由于極性基團的存在,可能增加涂料在某些基材上的附著力,因此如果這種涂料上面再涂覆雙組分聚氨酯涂料的話,殘留的—OH將會與上層涂料的—NCO反應,有益于增加涂料層間附著力。但是多余的多元醇將會大大降低涂膜的耐化學性和耐久性,因此NCO/OH小于1的配方僅用于底漆或膜下的涂層。
若NCO/OH大于1,則來自溶劑、顏料與空氣中的水分和多異氰酸酯反應生成的胺,與異氰酸酯繼續反應生成脲鍵,反應很快。由于每個水分子會造成兩個—OH未反應,因此使用過量的—NCO,可以使殘留未反應的—OH量降至最低,相應的改善了涂膜的耐溶劑性。且生成的涂層比僅僅只有—NCO與—OH反應有較高的玻璃化溫度Tg值,涂膜的物理力學性能也可能提高。由于脲鍵的形成,涂層的耐化學性和耐久性得到保證。—NCO組分過量會使涂料VOC較低。
2.2溶劑的影響[24]
聚氨酯涂料(雙組分或潮氣固化型)對溶劑體系非常敏感。異氰酸酯很容易與胺、羥基與其他活性氫化合物反應,溶劑應嚴禁含有上述基團,避免采用醇溶劑(特別是伯醇,其活性氫的反應活性要強于仲醇和叔醇)和二元醚醇溶劑。聚氨酯在非極性溶劑中的反應速度要快于非極性溶劑,因此制造聚氨酯涂料可以通過利用非極性溶劑提高反應速度,而在最終產品里極性溶劑的使用可以使施工期限延長。
2.3顏料和其他涂料組分的影響[25]
某些顏料不能在聚氨酯涂料中使用,其原因可能是它們對聚氨酯反應有催化的功能。例如,氧化鋅顏料將某種程度縮短涂料的施工期限。有些有機原料或顏料也可能作為催化劑或反應物阻礙反應。有些顏料特別是表面處理過的顏料可能會和金屬催化劑作用。
在聚氨酯涂料的制備中,pH值的影響也不能忽視,大多數情況下,高堿性顏料將促進反應,而一些酸性物質將阻礙反應。片狀顏料特別是酸性顏料將嚴重阻礙聚氨酯涂料的固化反應,在這種涂料體系中,催化劑的用量是平常用量的2~3倍,催化劑大量殘余在固化后的涂膜中將降低涂膜的戶外耐久性。聚氨酯合成原料中的雜質也能夠促進氨基甲酸酯反應(如鈷、錫和鐵化合物)或阻礙反應(如銅化合物)。有的顏料可能會引起失光,如非金屬氮類顏料甲苯胺紅,因為這種顏料很容易在聚氨酯涂料的溶劑中發生部分溶解;磷酸鋅類防銹顏料也會明顯地縮短施工期限,混合時黏度提高(特別是較長的儲存期過后),還有一些物質可能會從涂膜中脫離出來,嚴重影響涂膜的耐久性。總之,影響聚氨酯防腐蝕涂料施工及涂膜性能的因素是多方面的,在配方設計時應重點予以考慮。
3·總結與展望
因為大多數聚氨酯涂料在耐水性和耐水解方面并不比其他涂料更好,因此,在防腐蝕涂料中,常采用對聚氨酯進行改性的方法,以提高涂膜的耐腐蝕性。近年來,聚氨酯防腐涂料因其卓越的性能得到了快速的發展,研究者制備出了不同性能且可以適應不同環境的涂料。但是它們自身也存在一些缺點,如含氟涂料、納米涂料成本較高,因此,如何將它們各自優異的性能整合而制備出復合型涂料可能是今后發展的方向。我們堅信,隨著科學工作者的不斷努力,會有更高性能、適用性更廣的聚氨酯型防腐涂料的出現。









魯ICP備2021047099號