江蘇金益集團公司的鄒升用二苯酮類紫外線吸收劑UV-B(2-羥基-4-芐氧基二苯酮)代UV-531穩定UPR,在常州253廠進行為期1年的大氣曝曬試驗,測其透光率(I)與色差(△E),結果列于表4。

由表4可見,經1年的老化試驗,UV-B的透光率為72.5% ,色差為5.8,UV-531的相應值為73.5%、5.8,以上數據說明,用UV-B代替UV-531是可行的。
南京航空學院的沃丁柱¨ 用各種光穩定劑改性牌號為F-3的UPR(南京復合材料總廠產品),加入不同的穩定劑(ω=0.5%)澆注成型制成樣品,人工老化24 h,測定老化前后透光率的下降值△T,試驗結果列于表5。
由表5可見,不加穩定劑時,樣品的透光率下降值△T高達54.25,加入光穩定劑后都有不同程度的降低,其中以苯并三唑(UV-327,UV-P)和二苯甲酮(UV-B)效果較好,當紫外線吸收劑與抗氧劑1010并用時有明顯的協同效應。
北京師范大學、安徽師范大學合作進行了制備無色透明UPR的研究工作,以不同的二酸與丙二醇反應制成的UPR的試驗結果列于表6。

由表6可見,當以丙二醇為二元醇的組分不變,鄰苯二甲酸酐和間苯二甲酸酐制成的樹脂顏色均為深黃色,而以己二酸和順丁烯二酸酐制成的樣品均為淺黃色。其原因可能是高溫下發生降解,芳香族二元酸分子中的羥基與苯環上的電子云發生超共軛效應使UPR色深,而脂肪族二元酸不發生此共軛效應,制品的顏色淺,故制備淺色制品用脂肪族酸酐為宜。
另外,熱氧穩定劑對UPR的顏色也有一定的影響,試驗表明,亞磷酸三苯酯可使制品接近無色。但是,廣泛使用于聚烯烴的抗氧劑1010用于UPR時,效果不好,這可能是由于聚烯烴與聚酯高分子材料的降解機理不同有關。
聚烯烴降解歷程主要是熱氧游離基歷程,而聚酯除熱氧降解外,還發生醇解、水解等反應,這些反應在一定條件下可能成為主要因素。抗氧劑1010雖然對終止或抑制游離基的連鎖反應有效,但它本身是一種羧酸酯,當用于UPR時可能與聚酯分子發生酯交換反應,從而引起降解,并超過了它抑制熱降解的作用,叔丁基鄰苯二酚、對苯二酚在微量氧存在下會氧化為醌類,醌類化合物本身帶有顏色,對UPR的色澤也有影響。而亞磷酸酯類有防止UPR顏色變深的作用,因為一方面亞磷酸酯具有吸氧作用,防止UPR的氧化,它本身轉化成為磷酸酯能與樹脂中的有色雜質(3價鐵離子)發生絡合反應生成無色離子。另一方面,UPR的降解為游離基歷程,亞磷酸酯能抑制熱氧對UPR的作用,把游離基過程消滅在萌芽狀態,故制品的顏色較淺。
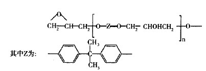
美國聯碳化學公司的Cary Charles Rex的專利提出UPR模制品防變黃的技術,其技術的核心是使穩定劑與某些環氧化合物并用,同時還添加活性熱塑性聚合物(醋酸乙烯酯),該聚合物可將抗氧劑和環氧化合物溶解,形成均一的液體,充分發揮穩定劑的作用,可用的環氧化合物的結構如下:

上述化合物使UPR抗變黃的機理尚不清楚,現在仍不能從理論上進行解釋,一般認為可能是環氧化合物的作用以清除引起UPR變黃的酸性分解產物。所使用的主抗氧劑包括受阻酚,其作用是降低游離基的活性,副抗氧劑為亞磷酸三苯酯類化合物,其作用是分解氫過氧化物,并把它還原為醇,主抗氧劑可終止氧化物的斷鏈反應,它與副抗氧劑有協同作用。
不飽和聚酯樹酯模塑料所用的原料有UPR:高活性鄰苯二酸改性的順酐一丙二醇聚酯樹脂(Ashand Chemical公司產品)60.0份;LP4016:聚醋酸乙烯酯在苯乙烯中的60% 的溶液35.0份;過氧化縮酮:1,1-二特戊基環己烷(Atochem,Buffal,N.Y產品)1.3份;P-BQ:5% 的對苯醌在鄰苯二甲酸二烯基酯的溶液0.4份;硫化鋅:70% 的硫化鋅分散在低分子量的不飽和聚酯樹脂的懸浮液(Plasticolors INC公司產品)8.6份;硬脂酸鋅(Synthetic Products公司產品)4.0份;碳酸鈣:300.0份。










魯ICP備2021047099號